مقدمة : أساسيات الرؤية بالحاسب
الرؤية الحاسوبية
وهي منطقة تحاكي أنظمة الرؤية البشرية.
تهتم بالنظرية الكامنة وراء الأنظمة الاصطناعية التي تستخرج المعلومات من الصور.
- تطبيقات الرؤية الحاسوبية:
- عمليات التحكم (مثل الروبوت الصناعي).
- الملاحة ( بواسطة مركبة مستقلة أو روبوت متحرك).
- كشف الأحداث ( للمراقبة البصرية أو عد الناس).
- تنظيم المعلومات ( لفهرسة قواعد بيانات الصور وتسلسلات الصور).
- كائنات النمذجة أو البيئات (، تحليل الصور الطبية أو النمذجة الطبوغرافية)
- التفاعل (للتفاعل بين الإنسان والكمبيوتر).
- الفحص التلقائي ، على سبيل المثال في تطبيقات التصنيع
الصور أو صور المسح بالموجات فوق الصوتية أو صور الأشعة السينية لأجزاء الجسم.
يتم تقييم الجنين ومراقبته أثناء الرعاية السابقة للولادة ، وفحص عضو بشري حرج أو تشخيص ورم وتحديد شدته من قبل الخبراء الطبيين المعنيين
رسم الخرائط من الصور المنقولة جواً ينتج خرائط طبوغرافية لمناطق الأرض
الكشف عن المخاطر الطبيعية
تقوم صناعات السيارات تلقائيًا بمحاذاة وتثبيت أجزاء السيارة من خلال الصور الملتقطة أثناء تجميع السيارة
نظام البصمة
يصبح تحديد الشخصية اكثر دقه بفضل الصور البيومترية
بالنسبة لتطبيقات رؤية الكمبيوتر ، فإن أجهزة الكمبيوتر مبرمجة مسبقًا لحل مهمة معينة.
حيث تتضمن رؤية الكمبيوتر المجال العلمي والتقني الذي يتضمن استخراج المعلومات من الصور.
ما هي معالجة الصور الرقمية؟
تُعرَّف الصورة على أنها دالة ثنائية الأبعاد ، f (x ، y) ، حيث x و y إحداثيات مكانية (مستوية) ، وتسمى سعة f عند أي زوج من الإحداثيات (x ، y) كثافة أو مستوى رمادي من الصورة.
الصورة الرقمية: عندما تكون x و y وقيم اتساع f كلها كميات محدودة ومنفصلة ، فإننا نطلق على الصورة صورة رقمية.
يشير مجال معالجة الصور الرقمية إلى معالجة الصور الرقمية بواسطة جهاز كمبيوتر رقمي.
تتكون الصورة الرقمية من عدد محدود من العناصر ، لكل منها موقع وقيمة معينة.
تتم الإشارة إلى هذه العناصر باسم عناصر الصورة و والبكسلات.
في معالجة الصور الرقمية ، تتم معالجة الصور الرقمية في أجهزة الكمبيوتر وفقًا لمتطلبات تطبيقات رؤية الكمبيوتر الخاصة.
1.1 الخطوات الأساسية (المناطق) في معالجة الصور
1. الحصول على الصور
2. رقمنة الصورة
3. تحسين الصورة
4. استعادة الصورة
5. ضغط الصور
6. تجزئة الصورة
7. تمثيل الصورة
8. التعرف على الصور
9. تفسير الصور
10. قاعدة المعرفة
1.1 الخطوات الأساسية (المناطق) في معالجة الصور
1. الحصول على الصور
2. رقمنة الصورة
3. تحسين الصورة
4. استعادة الصورة
5. ضغط الصور
6. تجزئة الصورة
7. تمثيل الصورة
8. التعرف على الصور
9. تفسير الصور
10. قاعدة المعرفة
نظام الرؤية بالحاسب بشكل عام
الخطوات الأساسية (المناطق) في معالجة الصور
يتم الحصول على الصور بواسطة جهاز مادي حساس للطاقة المشعة:
بالكائن الذي نرغب في تصويره.
في الكاميرا الرقمية ، تنتج المستشعرات ناتجًا كهربائيًا يتناسب مع شدة الضوء.
يتم التقاط الاستجابات المنعكسة من جميع المواضع المكانية للكائن من خلال نظام بصري للعدسات ، يتم استشعارها بواسطة مستشعر أو CCD أو كاميرا Vidicon وتحويلها إلى الإشارات الكهربائية التناظرية المكافئة بواسطة كاشف كهروضوئي في نظام التصوير.
يمكن تمثيل الصورة كدالة شدة ضوء ثنائية الأبعاد ، f (x ، y).
يتميز بمكونين:
o معدل خطأ إضاءة المصدر في المشهد الذي يتم عرضه ، i (x ، y)
o مقدار الإضاءة الذي تعكسه الكائنات في المشهد ، r (x ، y).
f(x, y)=i(x, y) . r(x, y)
where
0<i(x, y)< α
And
0<r(x, y)<=1
الانعكاس ، r (x ، y) يحده 0 (الامتصاص الكلي) و 1 (الانعكاس الكلي).
o i (x ، y) يتحدد بمصدر الإضاءة ، و
o r (x ، y) يتحدد بخصائص الكائنات المصورة.
2. رقمنة الصورة
يتم تنفيذ رقمنة الصورة بواسطة جهاز لتحويل الإخراج التناظري لجهاز الاستشعار المادي إلى شكل رقمي.
يقوم جهاز التحويل الرقمي بتحويل هذه المخرجات إلى بيانات رقمية.
يتكون المحول الرقمي من جزئين: Sampler و Quantizer
أ) أخذ عينات الصور
عملية رقمنة الإحداثيات المكانية للصورة.
للعينة ، نأخذ عينات متباعدة بالتساوي على طول الخط AB ، في الشكل أدناه.
يتم تحديد موقع كل عينة بعلامة تجزئة عمودية في الجزء السفلي من الشكل.
تظهر العينات على شكل مربعات بيضاء صغيرة متراكبة على الدالة.
تعطي مجموعة هذه المواقع المنفصلة دالة العينة
ب) توضيح الصورة
o للتقدير ، يجب أيضًا تحويل قيم المستوى الرمادي (كميًا) إلى كميات منفصلة.
o في الجانب الأيمن من الشكل أعلاه يظهر مقياس المستوى الرمادي مقسمًا إلى ثمانية مستويات منفصلة ، تتراوح من الأسود إلى الأبيض.
o تشير علامات التجزئة العمودية إلى القيمة المحددة المخصصة لكل مستوى من المستويات الرمادية الثمانية.
o يتم تحديد مستويات الرمادي المستمر كميًا ببساطة عن طريق تعيين أحد المستويات / القيم الرمادية الثمانية المنفصلة لكل عينة.
عملية رقمنة قيمة سعة الصورة.
تنتج العينات الرقمية الناتجة عن كل من أخذ العينات وتوضيح الصورة الرقمية ثنائية الأبعاد.
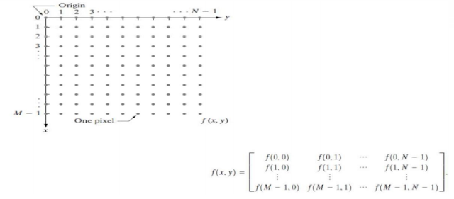
تمثيل الصورة الرقمية
هو نتيجة أخذ العينات والتوضيح فبالتالي هي مصفوفة من الأرقام الحقيقية.
افترض أن الصورة f (x، y) مأخوذة عينة بحيث تحتوي الصورة الرقمية الناتجة على صفوف M وأعمدة N.
قيم الإحداثيات (x ، y) أصبحت الآن كميات منفصلة.
من أجل الوضوح والراحة ، سنستخدم قيمًا صحيحة لهذه الإحداثيات المنفصلة.
وبالتالي ، فإن قيم الإحداثيات في الأصل هي (x ، y) = (0 ، 0). يتم تمثيل قيم الإحداثي التالية على طول الصف الأول من الصورة (س ، ص) = (0 ، 1).
من المهم أن تضع في اعتبارك أن الترميز (0 ، 1) يستخدم للدلالة على العينة الثانية على طول الصف الأول.
هي منطقة تقوم بتعديل صورة لتطبيق معين.
يحسن جودة الصورة المعينة ويزيد من فرص نجاحها لاحقًا.
إنها ذاتية ، مما يعني أن تقنية التحسين لتطبيق واحد قد لا تكون مناسبة لتطبيقات أخرى.
عمليات التحسين الرئيسية هي: سلبي ، تمديد التباين ، معادلة الرسم البياني ، التصفية: مرشح متوسط ، مرشح متوسط مرجح ، مرشح متوسط ، مرشح لابلاسيان ، إلخ.
4.استعادة الصورة: يركز على استعادة أو إعادة بناء الصورة التي تدهورت باستخدام المعرفة المسبقة حول ظاهرة التدهور.
استعادة الصورة تعد موضوعية نظرًا لأن الاستعادة تميل إلى أن تستند إلى نماذج رياضية أو احتمالية لتدهور الصورة.
5. ضغط الصورة: يركز على تقليل متطلبات البت للصورة للتخزين الفعال أو النقل السهل من خلال عرض نطاق محدود عن طريق تشفير الصورة أثناء استغلال التكرار في المعلومات الموجود في الصورة.
مفيد في مجال الإنترنت.
مثال: معيار ضغط الصور الشائع JPEG (Joint Photographic Experts Group)
6. تجزئة الصورة: وهي منطقة تركز على عزل أو تجميع المناطق المتجانسة في الصورة
يقسم الصورة إلى أجزاء أو الأشياء المكونة لها.
7. تمثيل الصورة:
يركز على استخراج السمات من صورة معينة وتخزينها في الذاكرة.
يقوم بتحويل الصورة المدخلة إلى نموذج مناسب للمعالجة الحاسوبية.
8. التعرف على الصور:
يركز على تحديد كائن من الصورة المحددة.
يقوم بتعيين تسمية لكائن بناءً على المعلومات المقدمة بواسطة صفاته.
9. تفسير الصورة: لتعيين معنى لمجموعة من الأشياء المعترف بها.
10. قاعدة المعرفة: يتم ترميز المعرفة حول مجال المشكلة في نظام معالجة الصور في شكل قاعدة بيانات المعرفة. تُستخدم قاعدة بيانات المعرفة هذه في جميع المجالات
1.2 مكونات نظام معالجة الصور
يوضح الشكل المكونات الأساسية التي تشتمل على نظام نموذجي للأغراض العامة يستخدم في معالجة الصور الرقمية
تشمل المكونات
1. مجسات الصورة
2. أجهزة معالجة الصور المتخصصة.
3. الحاسوب
4. التخزين الشامل
5. عرض الصورة
6. البرمجيات
7. أجهزة النسخ الورقي
8. الشبكة
1. مجسات الصورة:
• تحتوي مستشعرات الصور على عنصرين مطلوبين للحصول على الصور الرقمية.
• الأول هو جهاز مادي حساس للطاقة التي يشعها الجسم الذي نرغب في تصويره.
• والثاني ، يسمى محول الأرقام ، وهو جهاز لتحويل مخرج جهاز الاستشعار المادي إلى شكل رقمي.
• مثال: فيديو رقمي أو كاميرا صور ، تنتج المستشعرات ناتجًا كهربائيًا يتناسب مع شدة الضوء.
• يقوم جهاز التحويل الرقمي بتحويل هذه المخرجات إلى بيانات رقمية.
2. أجهزة معالجة الصور المتخصصة:
• يتكون عادة من جهاز التحويل الرقمي ،
• الأجهزة التي تقوم بعمليات بدائية أخرى ، مثل وحدة المنطق الحسابي (ALU) ، والتي تقوم بعمليات حسابية ومنطقية أسرع بالتوازي مع الصور بأكملها.
3. الكمبيوتر:
الكمبيوتر في نظام معالجة الصور هو كمبيوتر متعدد الأغراض ويمكن أن يتراوح من كمبيوتر شخصي إلى كمبيوتر عملاق.
• يتم استخدام أجهزة الكمبيوتر المصممة خصيصًا لتحقيق المستوى المطلوب من الأداء في التطبيقات المخصصة.
4. التخزين الشامل:
• الذاكرة أمر لا بد منه في تطبيقات معالجة الصور.
• صورة بحجم 1024 * 1024 بكسل تكون فيها كثافة كل بكسل 8 بت
الكمية ، تتطلب مساحة تخزين واحدة ميغا بايت إذا لم يتم ضغط الصورة.
• تخزين قصير المدى - يتم استخدام ذاكرة الكمبيوتر أثناء المعالجة.
• التخزين عبر الإنترنت - لوحات متخصصة ، تسمى الإطارات المؤقتة ، والتي تخزن صورة واحدة أو أكثر ويمكن الوصول إليها بسرعة ، عادةً بمعدلات الفيديو (على سبيل المثال ، 30 صورة كاملة في الثانية).
• تخزين أرشيفية - أشرطة مغناطيسية ، أقراص بصرية
5. عرض الصورة
• شاشات تلفزيون ملونة (يفضل أن تكون مسطحة).
• يتم تشغيل الشاشات بواسطة بطاقات عرض الرسومات
• التروس الرأسية - عبارة عن شاشات استريو تحتوي على شاشتين صغيرتين مدمجتين في نظارات يرتديها المستخدم.
6. البرمجيات:
• تتضمن الحزمة المصممة جيدًا قدرة المستخدم على كتابة كود يستخدم ، كحد أدنى ، الوحدات المتخصصة.
• تسمح حزم البرامج الأكثر تعقيدًا بدمج هذه الوحدات
برمجة اوامر الاغراض العامة بلغة كمبيوتر واحدة على الأقل.
مثل : Matlab ، Mathematica ، Monte Vision ، IDL إلخ.
7. أجهزة الطباعة الورقية
• لتسجيل الصور.
• مثال: طابعات الليزر وكاميرات الأفلام والأجهزة الحساسة للحرارة ووحدات نفث الحبر والوحدات الرقمية مثل الأقراص الضوئية والأقراص المضغوطة
8. الشبكات:
• تساعد الشبكات في معالجة كمية كبيرة من البيانات في تطبيقات معالجة الصور ،
الاعتبار الرئيسي في نقل الصور هو النطاق الترددي.
• يتم جعل الشبكات المخصصة التي تتواصل مع المواقع البعيدة عبر الإنترنت فعالة من خلال الألياف الضوئية وتقنيات النطاق العريض.
ترجمة فيصل عسيري لصالح مدونة فاب
المرجع :
Digital Image Processing 4th Edition
by Rafael Gonzalez (Author), Richard Woods (Author)
























تعليقات
إرسال تعليق
شاركنا الآراء ،،